15:07
[익명]
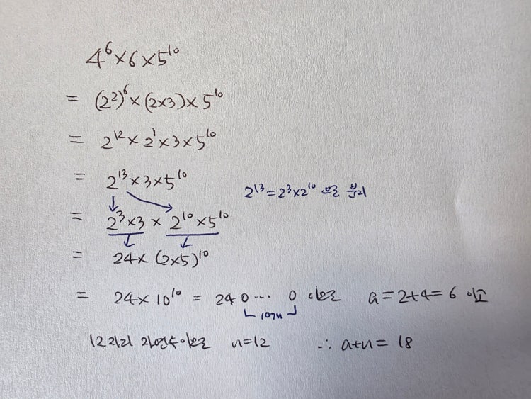
수학 문제 도와주세요 4의 6제곱×6 ×5의 10제곱이 n자리의 자연수이고 각 자리의 숫자의 합이
4의 6제곱×6 ×5의 10제곱이 n자리의 자연수이고 각 자리의 숫자의 합이 a일 때 a+n의 값을 구하시오. 라는 문제인데다른건 다 맞는데 갑자기 n이 12가 된다고 나와있어요.아시는분 설명 좀 해주세요ㅠㅠ
24뒤에 0이 10개가 있는 수이므로
숫자 2개 뒤에 10개가 있는 수, 즉 2+10=12자리 자연수입니다.
회원가입 혹은 광고 [X]를 누르면 내용이 보입니다
-
베트남 동 환전 950,000원동 한화 계산할때0하나 빼고 나누기 2하면 되는거 아닌가요??제가 알고 있는거랑
2025.12.14 -
사주 보고싶어요~ 사주 보고 싶은데 어디서 봐야할 지모르겠어요여자 양력 2007 04 06
2025.12.01 -
일본 만화 제목을 찾습니다 - 비행 마법 저격 여자 기억하기로는 위의 내용에 있는 일본 만화 제목을 찾습니다. 만화의 내용은
2025.12.01 -
이거 무슨 포켓몬이에요? 신기하네요
2025.12.01 -
폰트 합니다 무슨 폰트인지 알려주세요
2025.11.30 -
공장초기화가 안됩니다 제가 볼륨 아래버튼이랑 전원버튼을 핸드폰 화면이 켜질때까지 동시에 눌렀는데 공장초기화가
2025.11.30